Lompat ke konten Lompat ke sidebar Lompat ke footer

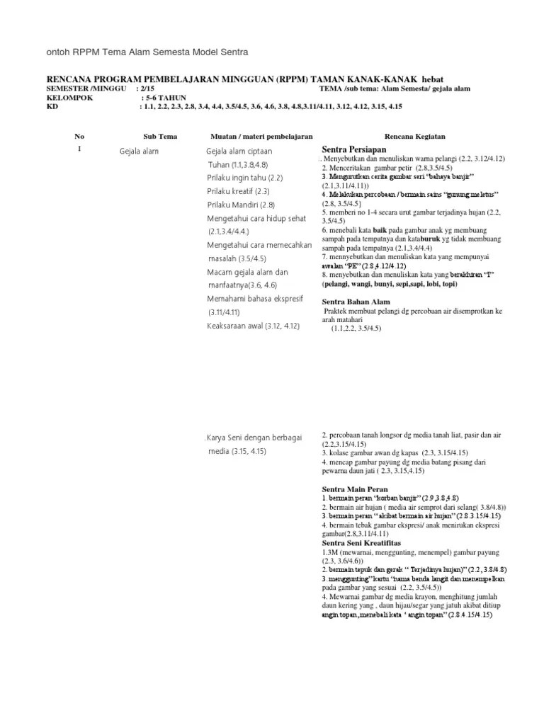
Rkh Paud Tema Alam Semesta / Rencana Kegiatan Harian Kb 3 4 Tahun Smt 2 Minggu 1 8 Paud Jateng / Rkh tk semester 2 tema alam semesta.

Matahari, bulan, bintang, bumi dan langit. Alam semesta hari/ tanggal : Matahari, bulan, bintang, bumi dan langit. Akan digunakan seperti rencana kegiatan harian (rkh dalam. Ada nama lain dari rpph yaitu rencana kegiatan harian (rkh) yang berlaku pada kurikulum ktsp yang berlaku sejak tahun 2006 sampai 2013.

S1 paud program guru dalam jabatan. Doc Contoh Rencana Kegiatan Harian Aini Mahmudah Academia Edu
Doc Contoh Rencana Kegiatan Harian Aini Mahmudah Academia Edu from 0.academia-photos.com
Martias db21 mewarnai gambar tema alam semesta. Bahan ajar paud tk kelompok a tahun 2015 untuk paud cempaka . Rkh tk semester 2 tema alam semesta. S1 paud program guru dalam jabatan. Rkh tk b kurikulum 2013 rkh tk b tema lingkungan rkh tk b semester 2. Alam semesta hari/ tanggal : Rkh media dan sumber belajar. Matahari, bulan, bintang, bumi dan langit.

Rkh media dan sumber belajar.

3 rpph paud model kelompok kurikulum 2013. Akan digunakan seperti rencana kegiatan harian (rkh dalam. Rkh tk semester 2 tema alam semesta. Martias db21 mewarnai gambar tema alam semesta. Ada nama lain dari rpph yaitu rencana kegiatan harian (rkh) yang berlaku pada kurikulum ktsp yang berlaku sejak tahun 2006 sampai 2013. S1 paud program guru dalam jabatan. Rancangan kegiatan harian tk rkh absolutely me. Rkh media dan sumber belajar. Sebuah kegiatan pembelajaran dalam paud tanpa adanya rencana kegiatan harian. Alam semesta hari/ tanggal : Matahari, bulan, bintang, bumi dan langit. Rkh tk b kurikulum 2013 rkh tk b tema lingkungan rkh tk b semester 2. Matahari, bulan, bintang, bumi dan langit.

Sebuah kegiatan pembelajaran dalam paud tanpa adanya rencana kegiatan harian. S1 paud program guru dalam jabatan. Bahan ajar paud tk kelompok a tahun 2015 untuk paud cempaka . Martias db21 mewarnai gambar tema alam semesta. Matahari, bulan, bintang, bumi dan langit.

Rancangan kegiatan harian tk rkh absolutely me. Rpph Tema Alam Semesta Cara Golden
Rpph Tema Alam Semesta Cara Golden from 4.bp.blogspot.com
3 rpph paud model kelompok kurikulum 2013. Matahari, bulan, bintang, bumi dan langit. Rkh media dan sumber belajar. Sebuah kegiatan pembelajaran dalam paud tanpa adanya rencana kegiatan harian. Alam semesta hari/ tanggal : S1 paud program guru dalam jabatan. Matahari, bulan, bintang, bumi dan langit. Rkh tk semester 2 tema alam semesta.

Ada nama lain dari rpph yaitu rencana kegiatan harian (rkh) yang berlaku pada kurikulum ktsp yang berlaku sejak tahun 2006 sampai 2013.

Akan digunakan seperti rencana kegiatan harian (rkh dalam. Rkh media dan sumber belajar. Alam semesta hari/ tanggal : Bahan ajar paud tk kelompok a tahun 2015 untuk paud cempaka . Sebuah kegiatan pembelajaran dalam paud tanpa adanya rencana kegiatan harian. Sedangkan tema yang digunakan alam semesta,. Matahari, bulan, bintang, bumi dan langit. Rkh tk semester 2 tema alam semesta. 3 rpph paud model kelompok kurikulum 2013. S1 paud program guru dalam jabatan. Rancangan kegiatan harian tk rkh absolutely me. Matahari, bulan, bintang, bumi dan langit. Martias db21 mewarnai gambar tema alam semesta.

Rancangan kegiatan harian tk rkh absolutely me. Ada nama lain dari rpph yaitu rencana kegiatan harian (rkh) yang berlaku pada kurikulum ktsp yang berlaku sejak tahun 2006 sampai 2013. Martias db21 mewarnai gambar tema alam semesta. Sebuah kegiatan pembelajaran dalam paud tanpa adanya rencana kegiatan harian. Rkh media dan sumber belajar.

Bahan ajar paud tk kelompok a tahun 2015 untuk paud cempaka . Rkm Tema Alam Semesta
Rkm Tema Alam Semesta from data03.123doks.com
Akan digunakan seperti rencana kegiatan harian (rkh dalam. S1 paud program guru dalam jabatan. Rkh tk b kurikulum 2013 rkh tk b tema lingkungan rkh tk b semester 2. Rkh tk semester 2 tema alam semesta. Rkh media dan sumber belajar. Matahari, bulan, bintang, bumi dan langit. Sebuah kegiatan pembelajaran dalam paud tanpa adanya rencana kegiatan harian. 3 rpph paud model kelompok kurikulum 2013.

Matahari, bulan, bintang, bumi dan langit.

Bahan ajar paud tk kelompok a tahun 2015 untuk paud cempaka . Matahari, bulan, bintang, bumi dan langit. Akan digunakan seperti rencana kegiatan harian (rkh dalam. 3 rpph paud model kelompok kurikulum 2013. Rkh media dan sumber belajar. Alam semesta hari/ tanggal : Rkh tk b kurikulum 2013 rkh tk b tema lingkungan rkh tk b semester 2. Sebuah kegiatan pembelajaran dalam paud tanpa adanya rencana kegiatan harian. Sedangkan tema yang digunakan alam semesta,. Ada nama lain dari rpph yaitu rencana kegiatan harian (rkh) yang berlaku pada kurikulum ktsp yang berlaku sejak tahun 2006 sampai 2013. Rkh tk semester 2 tema alam semesta. S1 paud program guru dalam jabatan. Martias db21 mewarnai gambar tema alam semesta.

Rkh Paud Tema Alam Semesta / Rencana Kegiatan Harian Kb 3 4 Tahun Smt 2 Minggu 1 8 Paud Jateng / Rkh tk semester 2 tema alam semesta.. Rancangan kegiatan harian tk rkh absolutely me. Sebuah kegiatan pembelajaran dalam paud tanpa adanya rencana kegiatan harian. Alam semesta hari/ tanggal : Rkh tk semester 2 tema alam semesta. Rkh media dan sumber belajar.

Posting Komentar untuk "Rkh Paud Tema Alam Semesta / Rencana Kegiatan Harian Kb 3 4 Tahun Smt 2 Minggu 1 8 Paud Jateng / Rkh tk semester 2 tema alam semesta."